Width: 1390.7 mm
Height: 904.7 mm
Depth: 787.7 mm / 1007.7 mm
(with loading tray)
∼ 170 kg
Liquid handler: ≤ 600 VA
Centrifuge: ≤ 480 VA
115 VAC / 230 VAC
50/60 Hz
15 – 30 °C, indoor use only
15 – 85 %, no condensation
< 65 dBA
Dimensions
Width: 1390.7 mm
Height: 904.7 mm
Depth: 787.7 mm / 1007.7 mm (with loading tray)
Weight
∼ 170 kg
Power consumption
Liquid handler: ≤ 600 VA
Centrifuge: ≤ 480 VA
Voltage
115 VAC / 230 VAC
Frequency
50/60 Hz
II (Overvoltage category)
Temperature range
15 – 30 °C, indoor use only
Relative humidity
15 – 85 %, no condensation
Noise level
< 65 dBA


1 Carrier for calibrators and controls
2 Carrier for reagents
3 Carriers for sample tubes
4 Carriers for tips and 96 well plates
5 Carrier for (heater-) shaker and counterweight plates
6 Centrifuge
7 Waste
8 Barcode reader
* Here shown for MassTox® TDM Series A


1 Measurement not working, 2 Blocked tip, blood clot, 3 Short sample, 4 Incorrect value, 5 Short/no sample, 6 Dispense speed incorrect/blocked tip, 7 System leak, 8 Incorrect volume
One of the key safety features is the total aspiration and dispense monitoring (TADM™) of the instrument. Each aspiration and dispensing step, also in each pipetting channel, is monitored in real-time. TADM verifies the sample transfer with a traceable digital audit trail and identifies errors such as blood clots or incorrect volumes that have been transferred. In case an error during aspiration is detected a new attempt to pipette the sample is started. If the error is repeated, the sample is then excluded. Another advantage of TADM is its ability to detect the use of incorrect reagents.
1D barcode reader
Centrifugation of deep-well plates for protein precipitation and extraction
Optimized speed and timing for clinical sample types
Ensures clean supernatant transfer and minimizes matrix effects
Reduces manual handling and improves reproducibility
Operates in parallel with other workflow steps to maximize efficiency
Robust towards imbalance
Improved design
More Reliable Tip Positioning
Lower Total Cost:
One of MassSTAR’s key safety features is Total Aspiration and Dispense Monitoring (TADM™), which tracks every pipetting step in real time. This intelligent system ensures accurate sample handling and immediate error detection.
1 Measurement not working / 2 Blocked tip, blood clot, / 3 Short sample / 4 Incorrect value / 5 Short/no sample / 6 Dispense speed incorrect/blocked tip / 7 System leak / 8 Incorrect volume


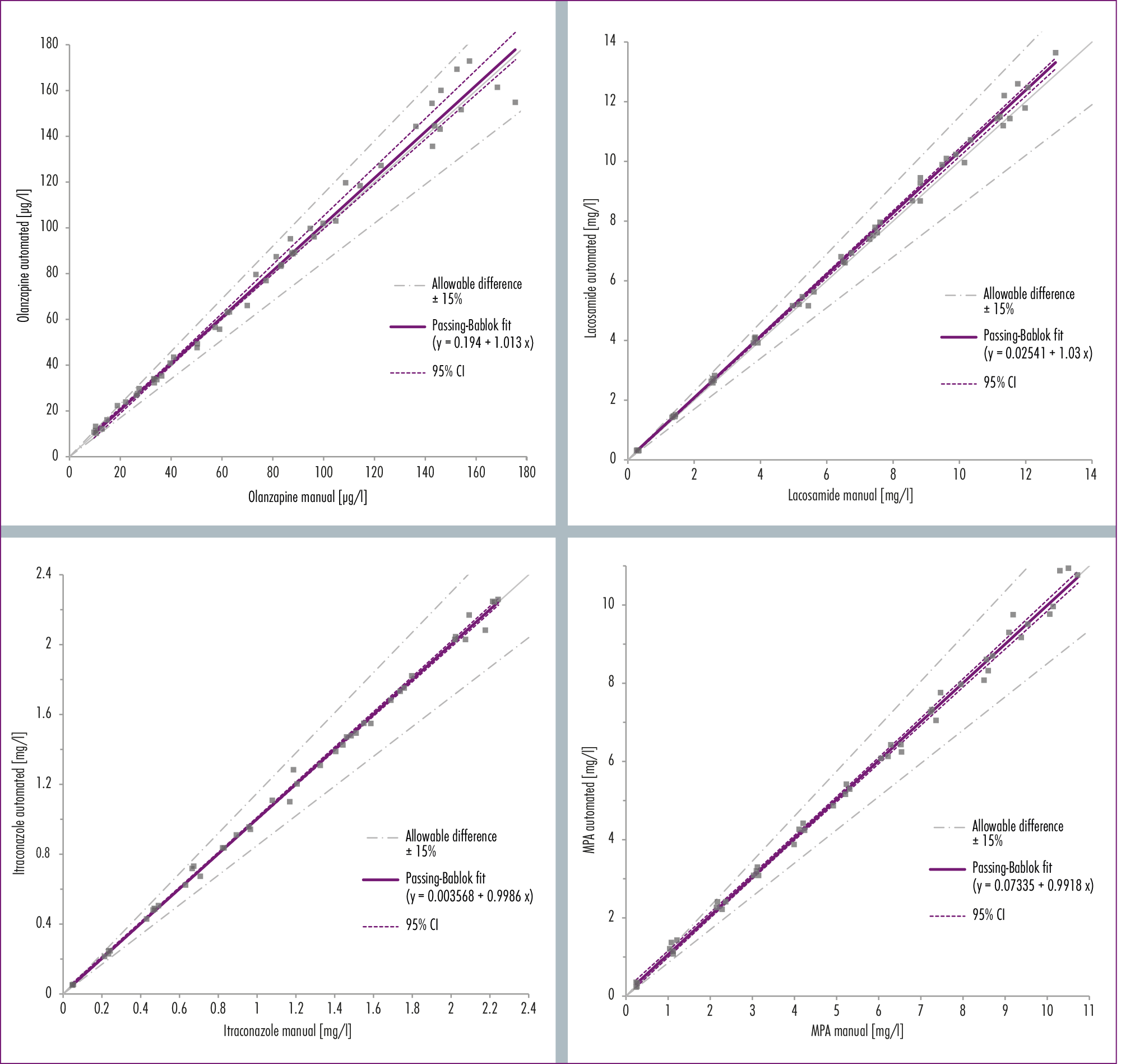
MassSTAR allows the sample preparation of 288 samples per batch for vitamin D, 176 for immunosuppressants and 96 for MassTox® TDM Series A. The complete parameter menu has been comprehensively tested. Method comparisons between manual and automated sample preparation clearly demonstrate a high correlation of data. In essence: same results, lower risk of pipetting errors, increased throughput and reduced costs.
Passing-Bablok regression comparing manual and automated sample preparation for the four analytes olanzapine, lacosamide, itraconazole and mycophenolic acid (MPA).
The graphs demonstrate a high correlation of data.
You learn how automation can improve the efficiency, accuracy and reliability of laboratory workflows. Key features include ease of use, precision, high throughput and traceability.
Dr. Maximilian Dietz, Research & Development Manager at Chromsystems talks in this recorded webinar about the full CE-IVD walkaway solution MassStar that automates sample preparation in TDM.
You would like to learn more about MassSTAR? Then you are welcome to download our brochure. After you have filled out the following form, the respective links to download your documents will be sent to the e-mail address provided.

